ADN, esprit et sphère spirituelle: le lien de la 5e dimension
Des expériences menées ont montré le lien qui existait entre pensée et ADN. Les actions à distance constatées sur l’ADN passent par la 5e...
D’après Harvard, Sabrina Pasterski est la nouvelle Albert Einstein
Être comparé à Stephen Hawking ou à Albert Einstein n’est pas quelque chose qui arrive au commun des mortels. Et pour cause, ces légendaires...
Pourquoi nous ne voyons pas les « esprits »
Nous ne voyons pas les être de densité plus subtile que la nôtre ! Pourquoi ?
Par rapport à nous 3ème densité, les esprits, anges, êtres évolué,...
La distorsion de fréquences !
Cet article paru le 17 février 2012 décrit la période de transition que l’humanité traverse actuellement. Le rythme s’est depuis considérablement accéléré, des centaines...
Un nouvel espace-temps: un monde officiel avec une technologie de 5e...
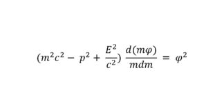
Les propriétés physiques de l’espace se définissent en donnant l’expression de ce qu’on appelle la métrique. L’expression mathématique qui figure en tête de l’article...
Gregg Braden “Sentiments, Énergie & Conscience”
La science, nous dit Gregg Braden dans cette vidéo, permet dorénavant de vérifier la véracité d'une hypothèse soutenue depuis la nuit des temps par...
Idriss Aberkane L’Ego
L'ego est le premier destructeur de valeur dans un projet...
https://www.youtube.com/watch?v=F8UuyBNdSH4
Jean-Pierre Garnier Malet – Le temps, la pensée..
Le professeur Garnier Malet nous parle du temps, de la conscience, du corps énergétique...
Ces informations confirment que le temps n'est pas linéaire et s'étend...
STOP à la confusion densité / dimension
Confusion entre densité et dimension.
Les dimensions
Les dimensions sont des mesures ou perceptions purement spatiales. Leur accès se fait par translation et duplication de l’espace....
L’apocalypse ou la faillite certaine de notre civilisation: rapport de situation...
https://www.youtube.com/watch?v=8ZPudjNux7g
L’entropie, grandeur physique dont nous avons déjà parlé dans les articles précédents, est associée à la température. Elle représente le désordre dans un système...
La résonance du champ magnétique de la Terre a connu un...
Le 31 juillet 2017, il y a eu un énorme pic dans la puissance du champ magnétique terrestre qui a affecté la résonance de...
Les militaires américains admettent publiquement que les êtres humains ont effectivement...
En 2014, le Bureau de la recherche navale a lancé un programme de recherche de quatre ans, qui coûte approximativement quatre millions de dollars,...
Introduction à un espace à 5 dimensions et dangers des hautes...
Dans cet article, l’équation non linéaire à l’origine de l’expression de la force F de l’article précédent montre le lien très étroit qui existe...
Synchronisation des rythmes du système nerveux autonome humain avec l’activité géomagnétique...
Un couplage entre l'activité géomagnétique et la fonction du système nerveux humain a été identifié grâce à une surveillance continue de la variabilité du...













