Méditation : Comment débuter ?
Débuter en méditation est simple quand on comprend que méditer, c’est être conscient à l’intérieur.
L’ignorance de ce que la méditation est vraiment nous empêche de...
Mise à jour de David Wilcock concernant l’éclipse du 21 Aout
TRÈS IMPORTANT
Ka'Aree est apparemment l'un des êtres humains que nous classerions comme extraterrestres bienveillants et angéliques, Ka'Aree a déclaré que cette éclipse à...
Chris Ulmer : l’enseignant qui complimente ses élèves
A l’école, l’appel du matin n’est en général qu’une formalité barbante et sans intérêt. Mais un instituteur a eu une idée géniale : il profite...
La Loi de UN – La Moisson (version vidéo)
https://www.youtube.com/watch?v=aGdl9MXiduM&feature=youtu.be
Merci à Georges Beauregard pour cette vidéo : https://www.youtube.com/channel/UC47ieinG1_n0xkhz7zPsw0g
-----------------------
Rassurez-vous, la moisson ne se passe pas comme dans l’illustration ci-dessus ! Cette image caractérise la projection...
Le libre arbitre et le cosmos
La raison d’être du cosmos est l’expression du libre arbitre. Pour reprendre une réponse que j’ai donné à un commentaire qui avait été fait...
Un nouvel espace-temps: un monde officiel avec une technologie de 5e...
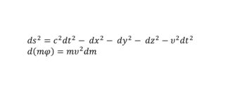
Les propriétés physiques de l’espace se définissent en donnant l’expression de ce qu’on appelle la métrique. L’expression mathématique qui figure en tête de l’article...
Sacrifier son temps pour gagner sa vie ? Une absurdité
Extraits du documentaire "En Quête de sens", ces mots soulignent la contradiction de ces sociétés prêtes à échanger tout leur temps contre de l'argent.
À...
L’apocalypse ou la faillite certaine de notre civilisation: rapport de situation...
https://www.youtube.com/watch?v=8ZPudjNux7g
L’entropie, grandeur physique dont nous avons déjà parlé dans les articles précédents, est associée à la température. Elle représente le désordre dans un système...
Fini les impôts, fini les taxes et les amendes ! La...
Je viens de regarder cette vidéo qui m'a été envoyé par Nadine et j'ai été scotché !
Fini les impôts, fini les taxes et les...
Sur 1ha, cette micro ferme bio génère 150000$ de chiffre d’affaires
Pas de chimie, ni de grosses machines, mais des tas d'outils pratiques et des méthodes astucieuses. Bienvenue dans l'exploitation de Jean-Martin Fortier.
On nous a...
L’Interview LIVE de Ghis – Retrouver sa souveraineté
Nous avons l'immense joie de recevoir Ghis en Interview LIVE ce Lundi 24 Juillet à 23h00 heure de France, 17h00, heure du Québec.
Pour celles...
Lancement du crowdfunding de RemoteWatchers.com !
Je suis ravi de vous annoncer le lancement du crowdfunding de RemoteWatchers.com !
Voici la superbe vidéo de présentation que Nicolas nous a fait (merci...
Le Bhoutan vise une agriculture 100% bio d’ici 2020
En matière d’écologie, un tout petit pays est en train de donner une magnifique leçon à toutes les grandes puissances du monde. Il s’agit...
Le premier village Ubuntu va démarrer en Ontario (Canada) d’ici 2...
Ceci est une première mondiale !
Le premier maire ayant adopté le projet UBUNTU "ONE SMALL TOWN", a publié son premier communiqué de presse cette...








![Fini les impôts, fini les taxes et les amendes ! La Percée Finale Approche [Débiteur/Créancier]](https://lumieresurgaia.com/wp-content/uploads/2017/07/unnamed-3-324x160.jpg)





